serosv

Codecov test coverage R-CMD-check

serosv is an easy-to-use and efficient tool to estimate infectious diseases parameters (seroprevalence and force of infection) using serological data. The current version is based on the book “Modeling Infectious Disease Parameters Based on Serological and Social Contact Data – A Modern Statistical Perspective” by Hens et al., 2012 Springer.

Installation

You can install the development version of serosv with:

# install.packages("devtools")
devtools::install_github("OUCRU-Modelling/serosv")

Feature overview

Datasets

serosv contains 15 built-in serological datasets as provided by Hens et al., 2012 Springer. Simply call the name to load a dataset, for example:

rubella <- rubella_uk_1986_1987

Methods

The following methods are available to estimate seroprevalence and force of infection.

Parametric approaches:

Nonparametric approaches:

Semiparametric approaches:

Hierarchical Bayesian approaches:

Demo

Fitting rubella data from the UK

Load the rubella in UK dataset.

library(serosv)

Find the power for the best second degree fractional polynomial with monotonicity constraint and a logit link function. The power appears to be (-0.9,-0.9).

rubella <- rubella_uk_1986_1987

best_2d_mn <- find_best_fp_powers(
  rubella,
  p=seq(-2,3,0.1), mc = T, degree=2, link="logit"
)

best_2d_mn
#> $p
#> [1] -0.9 -0.9
#> 
#> $deviance
#> [1] 37.57966
#> 
#> $model
#> 
#> Call:  glm(formula = as.formula(formulate(p_cur)), family = binomial(link = link))
#> 
#> Coefficients:
#>               (Intercept)                I(age^-0.9)  I(I(age^-0.9) * log(age))  
#>                     4.342                     -4.696                     -9.845  
#> 
#> Degrees of Freedom: 43 Total (i.e. Null);  41 Residual
#> Null Deviance:       1369 
#> Residual Deviance: 37.58     AIC: 210.1

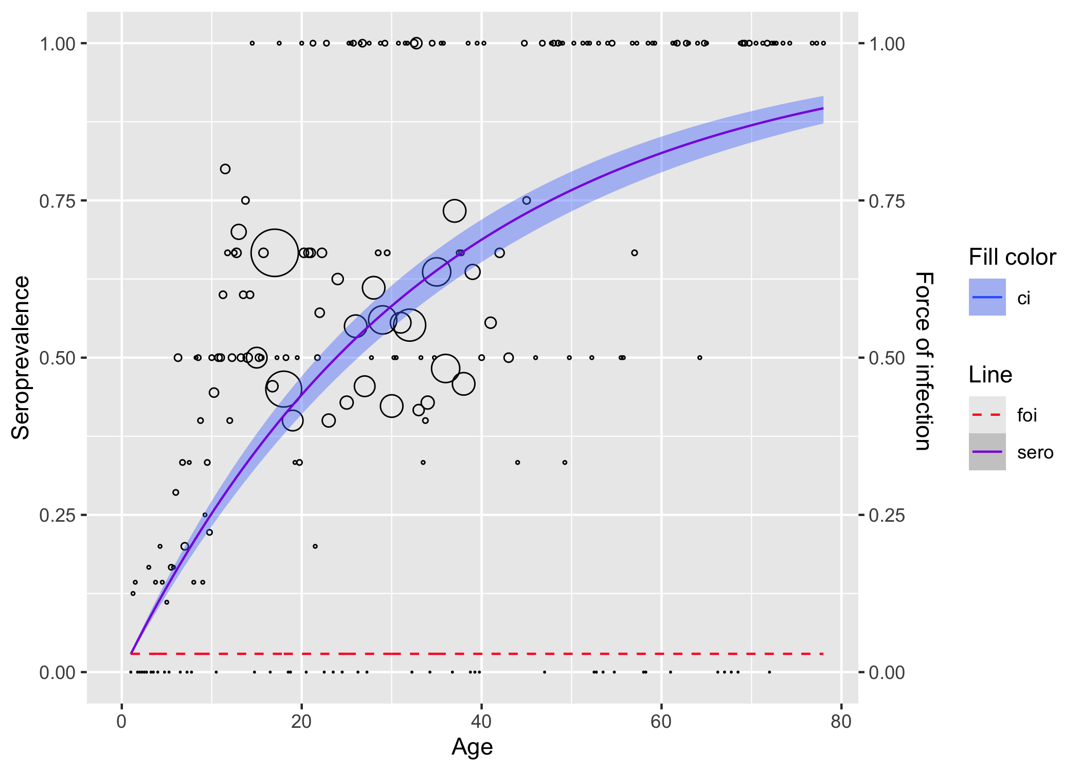
Finally, fit the second degree fractional polynomial.

fpmd <- fp_model(
  rubella,
  p=c(-0.9, -0.9), link="logit")

plot(fpmd)

Fitting Parvo B19 data from Finland

parvob19 <- parvob19_fi_1997_1998

# for linelisting data, either transform it to aggregated
transform_data(
  parvob19$age, 
  parvob19$seropositive,
  heterogeneity_col = "age") %>% 
  polynomial_model(type = "Muench") %>% 
  plot()


# or fit data as is
parvob19 %>% 
  rename(status = seropositive) %>% 
  polynomial_model(type = "Muench") %>% 
  plot()