
The goal of patchwork is to make it ridiculously simple
to combine separate ggplots into the same graphic. As such it tries to
solve the same problem as gridExtra::grid.arrange() and
cowplot::plot_grid but using an API that incites
exploration and iteration, and scales to arbitrarily complex
layouts.
You can install patchwork from CRAN using
install.packages('patchwork'). Alternatively you can grab
the development version from github using devtools:
# install.packages("devtools")
devtools::install_github("thomasp85/patchwork")The usage of patchwork is simple: just add plots
together!
library(ggplot2)
library(patchwork)
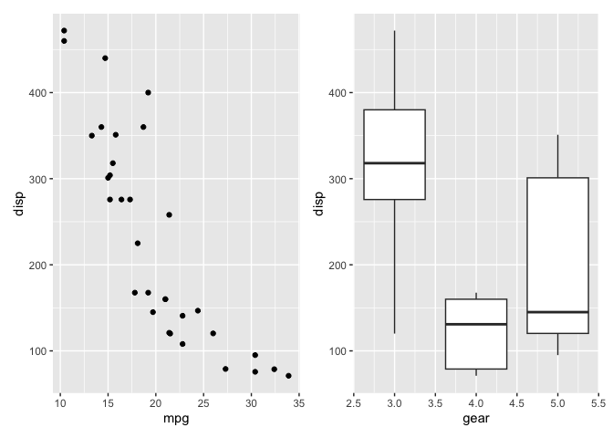
p1 <- ggplot(mtcars) + geom_point(aes(mpg, disp))
p2 <- ggplot(mtcars) + geom_boxplot(aes(gear, disp, group = gear))
p1 + p2
patchwork provides rich support for arbitrarily complex layouts with full alignment. As an example, check out this very readable code for nesting three plots on top of a third:
p3 <- ggplot(mtcars) + geom_smooth(aes(disp, qsec))
p4 <- ggplot(mtcars) + geom_bar(aes(carb))
(p1 | p2 | p3) /
p4
patchwork can do so much more. Check out the guides for learning everything there is to know about all the different features:
Please note that the patchwork project is released with a Contributor Code of Conduct. By contributing to this project, you agree to abide by its terms.