This package implements a Shiny Item Analysis module for computing binary classification metrics from inter-rater reliability based on Bartoš & Martinková (2024).
You can install the development version of IRR2FPR like
so:
devtools::install_github("FBartos/IRR2FPR")The module can be used interactively via the Shiny Item Analysis:
library(ShinyItemAnalysis)
library(IRR2FPR)
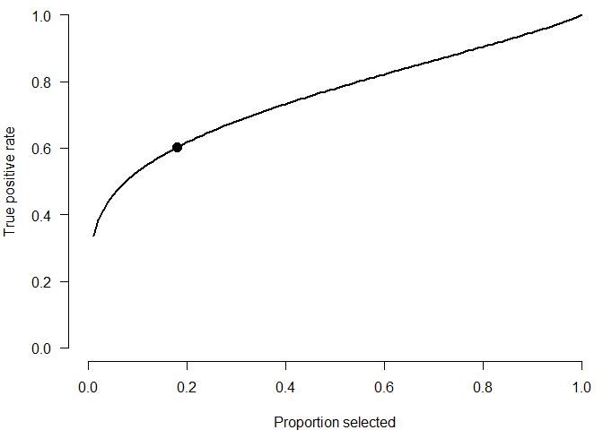
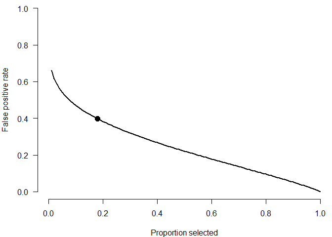
run_app()Furthermore, the functions can be also accessed directly from R. For example, we use the results reported in Erosheva et. al (2021) to compute the binary classification metrics:
library(IRR2FPR)
# use results based on Erosheva et. al (2021)
IRR <- spearman_brown_formula(0.34, 2.79)
prop_sel <- 0.18
# compute the binary classification metrics
compute_true_positive_rate(IRR, prop_sel)
#> [1] 0.6027441
compute_false_positive_rate(IRR, prop_sel)
#> [1] 0.3972559
compute_false_negative_rate(IRR, prop_sel)
#> [1] 0.08720251and visualize the metrics across the range of possible proportions of selected candidates.
par(mar=c(4,4,0.1, 0.1))
plot(NA, type = "n", axes = TRUE, bty = "n", xlab = "Proportion selected", ylab = "True positive rate", xlim = c(0, 1), ylim = c(0, 1), las = 1)
x_seq <- seq(0, 1, 0.01)
lines(x_seq, compute_true_positive_rate(IRR = IRR, proportion_selected = x_seq), lwd = 2)
points(prop_sel, compute_true_positive_rate(IRR = IRR, proportion_selected = prop_sel), pch = 16, cex = 1.5)
par(mar=c(4,4,0.1, 0.1))
plot(NA, type = "n", axes = TRUE, bty = "n", xlab = "Proportion selected", ylab = "False positive rate", xlim = c(0, 1), ylim = c(0, 1), las = 1)
x_seq <- seq(0, 1, 0.01)
lines(x_seq, compute_false_positive_rate(IRR = IRR, proportion_selected = x_seq), lwd = 2)
points(prop_sel, compute_false_positive_rate(IRR = IRR, proportion_selected = prop_sel), pch = 16, cex = 1.5)
par(mar=c(4,4,0.1, 0.1))
plot(NA, type = "n", axes = TRUE, bty = "n", xlab = "Proportion selected", ylab = "False negative rate", xlim = c(0, 1), ylim = c(0, 1), las = 1)
x_seq <- seq(0, 1, 0.01)
lines(x_seq, compute_false_negative_rate(IRR = IRR, proportion_selected = x_seq), lwd = 2)
points(prop_sel, compute_false_negative_rate(IRR = IRR, proportion_selected = prop_sel), pch = 16, cex = 1.5)
Bartoš, F., & Martinková, P. (2024). Selecting applicants based on multiple ratings: Using binary classification framework as an alternative to inter-rater reliability. British Journal of Mathematical and Statistical Psychology. (https://doi.org/10.1111/bmsp.12343)
Erosheva, E. A., Martinková, P., & Lee, C. J. (2021). When zero may not be zero: A cautionary note on the use of inter-rater reliability in evaluating grant peer review. Journal of the Royal Statistical Society Series A: Statistics in Society, 184(3), 904-919. (https://doi.org/10.1111/rssa.12681)