The goal of adas.utils is to provide some utility functions to be used in the course Analysis of Data and Statistics at the University of Trento, Italy. Course contents are on https://paolobosetti.quarto.pub/ADAS/.
You can install the development version of adas.utils from GitHub with:
# install.packages("devtools")
devtools::install_github("pbosetti/adas.utils", build_vignettes = TRUE)On https://paolobosetti.quarto.pub/data.html there are a
list of example datasets to be used during the course. You can load them
with the examples_url function:
examples_url("battery.dat") |> read.table(header=T) |> head()
#>   RunOrder StandardOrder Temperature Material Repeat Response
#> 1       34             1          15        1      1      130
#> 2       25             2          70        1      1       34
#> 3       16             3         125        1      1       20
#> 4        7             4          15        2      1      150
#> 5        8             5          70        2      1      136
#> 6        1             6         125        2      1       25The Chauvenet’s criterion is a method to identify possible outliers in a sample. Here is an example:
x <- rnorm(100)
x[50] <- 10
chauvenet(x)
#> Chauvenet's criterion for sample x
#> Suspect outlier: 50, value 10
#> Decision: reject itDaniel’s plot is a QQ plot of the effects of a non-replicated factorial model. Here is an example:
daniel_plot_qq(lm(Y~A*B*C*D, data=filtration)) ### Tukey’s test plot
### Tukey’s test plot
The stats::TukeyHSD function in base R provides a way to
perform multiple comparisons of means. It can print the results in
tabular form or can be plotted with the plot method:
library(tidyverse)
examples_url("battery.dat") %>%
  read_table() %>%
  mutate(across(c(Temperature, Material), factor)) %>%
  mutate(Material = LETTERS[Material]) %>% 
  ggTukey(Response~Temperature, splt=~Material)
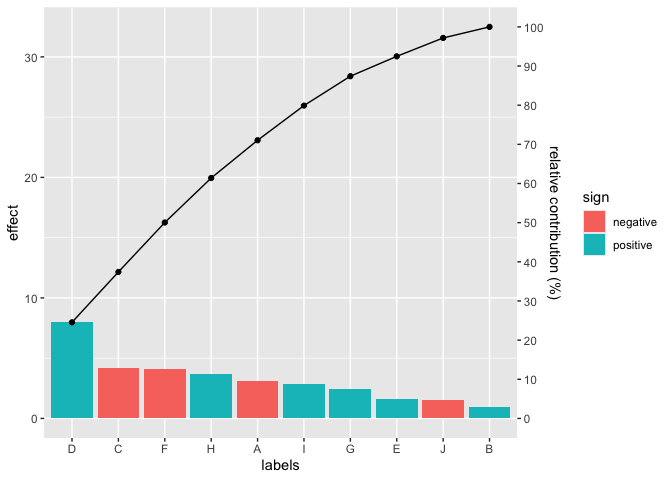
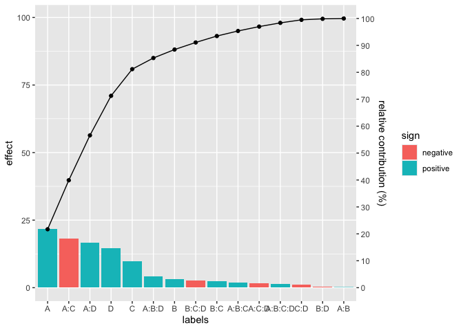
The pareto_chart function is a generic function that
creates a Pareto chart either from a general data frame or from the
effects of a lm object. Here is an example:
library(tidyverse)
set.seed(1)
tibble(
  val=rnorm(10, sd=5),
  cat=LETTERS[1:length(val)]
  ) %>%
  pareto_chart(labels=cat, values=val)
# For a linear model:
pareto_chart(lm(Y~A*B*C*D, data=filtration))
There is a host of functions to be used in the context of Design of Experiments. Here is an example to prepare a design matrix for a \(2^{5-2}\) fractional factorial plan:
fp_design_matrix(5) %>% 
  fp_fraction(~A*B*C*D) %>% 
  fp_fraction(~B*C*D*E)
#>  Factorial Plan Design Matrix
#>  Defining Relationship:  ~ A * B * C * D * E 
#>  Factors:  A B C D E 
#>  Levels:  -1 1 
#>  Fraction:  I=ABCD I=BCDE 
#>  Type:  fractional 
#>  
#> # A tibble: 8 × 12
#>   StdOrder RunOrder .treat  .rep     A     B     C     D     E Y      ABCD  BCDE
#>      <int>    <int> <chr>  <int> <dbl> <dbl> <dbl> <dbl> <dbl> <lgl> <dbl> <dbl>
#> 1        1        9 (1)        1    -1    -1    -1    -1    -1 NA        1     1
#> 2        7       14 bc         1    -1     1     1    -1    -1 NA        1     1
#> 3       11       10 bd         1    -1     1    -1     1    -1 NA        1     1
#> 4       13       31 cd         1    -1    -1     1     1    -1 NA        1     1
#> 5       20        4 abe        1     1     1    -1    -1     1 NA        1     1
#> 6       22       13 ace        1     1    -1     1    -1     1 NA        1     1
#> 7       26       26 ade        1     1    -1    -1     1     1 NA        1     1
#> 8       32       24 abcde      1     1     1     1     1     1 NA        1     1You can also prepare a design matrix for a \(2^n\) full factorial plan, and later on augment it with a central point and then to a central composite design with axial points:
fp_design_matrix(3, rep=2) %>% 
  fp_augment_center(rep=5) %>% 
  fp_augment_axial(rep=2)
#>  Factorial Plan Design Matrix
#>  Defining Relationship:  ~ A * B * C 
#>  Factors:  A B C 
#>  Levels:  -1 1 
#>  Fraction:  NA 
#>  Type:  composite 
#>  
#> # A tibble: 45 × 8
#>    StdOrder RunOrder .treat  .rep     A     B     C Y    
#>       <int>    <int> <chr>  <int> <dbl> <dbl> <dbl> <lgl>
#>  1        1       10 (1)        1    -1    -1    -1 NA   
#>  2        2        7 a          1     1    -1    -1 NA   
#>  3        3        3 b          1    -1     1    -1 NA   
#>  4        4       16 ab         1     1     1    -1 NA   
#>  5        5        6 c          1    -1    -1     1 NA   
#>  6        6        8 ac         1     1    -1     1 NA   
#>  7        7        2 bc         1    -1     1     1 NA   
#>  8        8       13 abc        1     1     1     1 NA   
#>  9        9       12 (1)        2    -1    -1    -1 NA   
#> 10       10       11 a          2     1    -1    -1 NA   
#> # ℹ 35 more rowsPaolo Bosetti, University of Trento