jskm

Kaplan-Meier Plot with ‘ggplot2’: ‘survfit’ and ‘svykm’ objects from ‘survival’ and ‘survey’ packages.

AppVeyor build status Github action CRAN_Status_Badge CRAN_Download_Badge codecov GitHub issues GitHub stars GitHub license

Install

install.packages("jskm")

## From github: latest version
install.packages("remotes")
remotes::install_github("jinseob2kim/jskm")

library(jskm)

Example

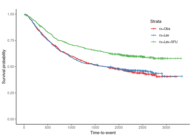
Survival probability

# Load dataset
library(survival)
data(colon)
fit <- survfit(Surv(time, status) ~ rx, data = colon)

# Plot the data
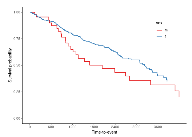
jskm(fit)

jskm(fit,
  table = T, pval = T, med = T, label.nrisk = "No. at risk", size.label.nrisk = 8,
  xlabs = "Time(Day)", ylabs = "Survival", ystratalabs = c("Obs", "Lev", "Lev + 5FU"), ystrataname = "rx",
  marks = F, timeby = 365, xlims = c(0, 3000), ylims = c(0.25, 1), showpercent = T
)

Cumulative hazard: 1- Survival probability

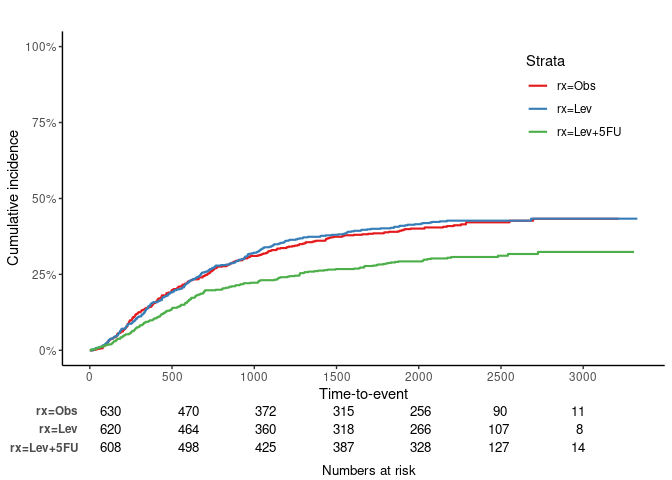
jskm(fit, ci = T, cumhaz = T, mark = F, ylab = "Cumulative incidence (%)", surv.scale = "percent", pval = T, pval.size = 6, pval.coord = c(300, 0.7))

Landmark analysis

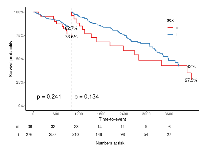
jskm(fit, mark = F, surv.scale = "percent", pval = T, table = T, cut.landmark = 500)

jskm(fit, mark = F, surv.scale = "percent", pval = T, table = T, cut.landmark = 500, showpercent = T)

Competing risk analysis

status2 variable: 0 - censoring, 1 - event, 2 - competing risk

## Make competing risk variable, Not real
colon$status2 <- colon$status
colon$status2[1:400] <- 2
colon$status2 <- factor(colon$status2)
fit2 <- survfit(Surv(time, status2) ~ rx, data = colon)
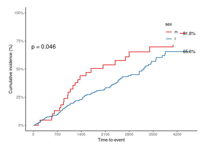
jskm(fit2, mark = F, surv.scale = "percent", table = T, status.cmprsk = "1")

jskm(fit2, mark = F, surv.scale = "percent", table = T, status.cmprsk = "1", showpercent = T, cut.landmark = 500)

Theme

JAMA

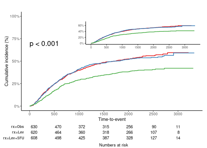
jskm(fit, theme = "jama", cumhaz = T, table = T, mark = F, ylab = "Cumulative incidence (%)", surv.scale = "percent", pval = T, pval.size = 6, pval.coord = c(300, 0.7))

NEJM

jskm(fit, theme = "nejm", nejm.infigure.ratiow = 0.7, nejm.infigure.ratioh = 0.4, nejm.infigure.ylim = c(0, 0.7), cumhaz = T, table = T, mark = F, ylab = "Cumulative incidence (%)", surv.scale = "percent", pval = T, pval.size = 6, pval.coord = c(300, 0.7))

Weighted Kaplan-Meier plot - svykm.object in survey package

library(survey)
data(pbc, package = "survival")
pbc$randomized <- with(pbc, !is.na(trt) & trt > 0)
biasmodel <- glm(randomized ~ age * edema, data = pbc)
pbc$randprob <- fitted(biasmodel)

dpbc <- svydesign(id = ~1, prob = ~randprob, strata = ~edema, data = subset(pbc, randomized))

s1 <- svykm(Surv(time, status > 0) ~ 1, design = dpbc)
s2 <- svykm(Surv(time, status > 0) ~ sex, design = dpbc)

svyjskm(s1)

svyjskm(s2, pval = T, table = T, design = dpbc)

svyjskm(s2, cumhaz = T, ylab = "Cumulative incidence (%)", surv.scale = "percent", pval = T, design = dpbc, pval.coord = c(300, 0.7), showpercent = T)

If you want to get confidence interval, you should apply se = T option to svykm object.

s3 <- svykm(Surv(time, status > 0) ~ sex, design = dpbc, se = T)
svyjskm(s3)

svyjskm(s3, ci = F)

svyjskm(s3, ci = F, surv.scale = "percent", pval = T, table = T, cut.landmark = 1000, showpercent = T)

Theme

JAMA

svyjskm(s2, theme = "jama", pval = T, table = T, design = dpbc)

NEJM

svyjskm(s2, theme = "nejm", nejm.infigure.ratiow = 0.45, nejm.infigure.ratioh = 0.4, nejm.infigure.ylim = c(0.2, 1), pval = T, table = T, design = dpbc)