fcaR: Tools for Formal Concept Analysis

Lifecycle: stable CRAN status codecov R-hub R-CMD-check Downloads

The aim of this package is to provide tools to perform fuzzy formal concept analysis (FCA) from within R. It provides functions to load and save a Formal Context, extract its concept lattice and implications. In addition, one can use the implications to compute semantic closures of fuzzy sets and, thus, build recommendation systems.

Details

The fcaR package provides data structures which allow the user to work seamlessly with formal contexts and sets of implications. More explicitly, three main classes are implemented, using the object-oriented-programming paradigm in R:

Two additional helper classes are implemented:

Since fcaR is an extension of the data model in the arules package, most of the methods and classes implemented interoperates with the main S4 classes in arules (transactions and rules).

Installation

This package is available at CRAN, so its stable version can be easily installed using:

install.packages("fcaR")

The development version of this package can be installed with

remotes::install_github("neuroimaginador/fcaR", build_vignettes = TRUE)

or

remotes::install_github("Malaga-FCA-group/fcaR", build_vignettes = TRUE)

Example of Use

Let us start with a fuzzy dataset (stored in a matrix I) as follows:
P1 P2 P3 P4 P5 P6
O1 0.0 1.0 0.5 0.5 1.0 0
O2 1.0 1.0 1.0 0.0 0.0 0
O3 0.5 0.5 0.0 0.0 0.0 1
O4 0.0 0.0 0.0 1.0 0.5 0
O5 0.0 0.0 1.0 0.5 0.0 0
O6 0.5 0.0 0.0 0.0 0.0 0

Here, a value \(x\) in the intersection of a row and a column indicates that the object of the corresponding row possesses the attribute in the column in a degree of at least \(x\) (if \(x = 0\), the attribute is absent in the object, and if \(x = 1\), the attribute is fully present in the object).

We can build a FormalContext object:

fc <- FormalContext$new(I)

print(fc)
#> FormalContext with 6 objects and 6 attributes.
#>      P1   P2   P3   P4   P5  P6  
#>  O1  0    1   0.5  0.5   1    0  
#>  O2  1    1    1    0    0    0  
#>  O3 0.5  0.5   0    0    0    1  
#>  O4  0    0    0    1   0.5   0  
#>  O5  0    0    1   0.5   0    0  
#>  O6 0.5   0    0    0    0    0

With a single function, we can compute the set of concepts:

# Compute all concepts
fc$find_concepts()

# The first concept
fc$concepts$sub(1)
#> ({O1, O2, O3, O4, O5, O6}, {})

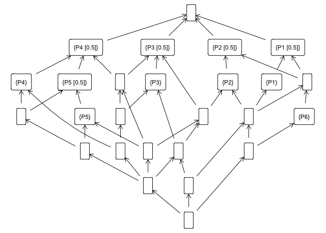
# And plot the concept lattice
fc$concepts$plot()

We can also extract implications from the formal context:

# Extract implications
fc$find_implications()

# Which implications have been extracted
fc$implications
#> Implication set with 12 implications.
#> Rule 1: {P6 [0.5]} -> {P1 [0.5], P2 [0.5], P6}
#> Rule 2: {P5 [0.5]} -> {P4 [0.5]}
#> Rule 3: {P3 [0.5], P4 [0.5], P5 [0.5]} -> {P2, P5}
#> Rule 4: {P3 [0.5], P4} -> {P3}
#> Rule 5: {P2 [0.5], P4 [0.5]} -> {P2, P3 [0.5], P5}
#> Rule 6: {P2 [0.5], P3 [0.5]} -> {P2}
#> Rule 7: {P2, P3, P4 [0.5], P5} -> {P4}
#> Rule 8: {P1 [0.5], P4 [0.5]} -> {P1, P2, P3, P4, P5, P6}
#> Rule 9: {P1 [0.5], P3 [0.5]} -> {P1, P2, P3}
#> Rule 10: {P1 [0.5], P2} -> {P1}
#> Rule 11: {P1, P2 [0.5]} -> {P2}
#> Rule 12: {P1, P2, P3, P6} -> {P4, P5}

Some fundamental functionalities on the concept lattice associated to the formal context have been implemented:

Also, one can compute the support of both implications and concepts:

fc$implications$support()
#>  [1] 0.1666667 0.3333333 0.1666667 0.0000000 0.1666667 0.3333333 0.0000000
#>  [8] 0.0000000 0.1666667 0.1666667 0.1666667 0.0000000
fc$concepts$support()
#>  [1] 1.00000000 0.50000000 0.33333333 0.25000000 0.33333333 0.25000000
#>  [7] 0.16666667 0.50000000 0.33333333 0.41666667 0.25000000 0.16666667
#> [13] 0.50000000 0.41666667 0.33333333 0.16666667 0.25000000 0.08333333
#> [19] 0.50000000 0.33333333 0.16666667 0.33333333 0.25000000 0.08333333
#> [25] 0.16666667 0.00000000

In this package, we have implemented a logic to manage implications. This so-called Simplification Logic allows us to simplify the extracted rules by removing redundancies, as well as computing the closure of a given fuzzy attribute set.

# Reduce the number of implications using two simple
# rules. The algorithm applies the specified rules
# in batches, if the number of rules is high.
fc$implications$apply_rules(rules = c("composition",
                                      "generalization"))
#> Processing batch
#> --> Composition: from 12 to 12 in 0.001 secs.
#> --> Generalization: from 12 to 12 in 0.003 secs.
#> Batch took 0.006 secs.

# Reduced set of implications
fc$implications
#> Implication set with 12 implications.
#> Rule 1: {P6 [0.5]} -> {P1 [0.5], P2 [0.5], P6}
#> Rule 2: {P5 [0.5]} -> {P4 [0.5]}
#> Rule 3: {P3 [0.5], P4 [0.5], P5 [0.5]} -> {P2, P5}
#> Rule 4: {P3 [0.5], P4} -> {P3}
#> Rule 5: {P2 [0.5], P4 [0.5]} -> {P2, P3 [0.5], P5}
#> Rule 6: {P2 [0.5], P3 [0.5]} -> {P2}
#> Rule 7: {P2, P3, P4 [0.5], P5} -> {P4}
#> Rule 8: {P1 [0.5], P4 [0.5]} -> {P1, P2, P3, P4, P5, P6}
#> Rule 9: {P1 [0.5], P3 [0.5]} -> {P1, P2, P3}
#> Rule 10: {P1 [0.5], P2} -> {P1}
#> Rule 11: {P1, P2 [0.5]} -> {P2}
#> Rule 12: {P1, P2, P3, P6} -> {P4, P5}

All these functions work natively with fuzzy and with binary datasets.

For more details on the methods implemented and further examples, see the vignettes in this package.

Changelog

With respect to the CRAN version, the development version has the following changes.

fcaR 1.2.2

Enhancements:

fcaR 1.2.1

Enhancements:

Bugfixes:

fcaR 1.2.0

Bugfixes:

fcaR 1.1.1

Enhancements:

New functionality:

Bugfixes:

References

Guigues J, Duquenne V (1986). “Familles minimales d’implications informatives résultant d’un tableau de données binaires.” Mathématiques et Sciences humaines, 95, 5-18.

Ganter B, Wille R (1999). Formal concept analysis : mathematical foundations. Springer. ISBN 3540627715.

Cordero P, Enciso M, Mora Á, Pérez de Guzman I (2002). “SLFD Logic: Elimination of Data Redundancy in Knowledge Representation.” Advances in Artificial Intelligence - IBERAMIA 2002, 2527, 141-150. doi: 10.1007/3-540-36131-6_15 (URL: https://doi.org/10.1007/3-540-36131-6_15).

Belohlavek R (2002). “Algorithms for fuzzy concept lattices.” In Proc. Fourth Int. Conf. on Recent Advances in Soft Computing. Nottingham, United Kingdom, 200-205.

Hahsler M, Grun B, Hornik K (2005). “arules - a computational environment for mining association rules and frequent item sets.” J Stat Softw, 14, 1-25.

Mora A, Cordero P, Enciso M, Fortes I, Aguilera G (2012). “Closure via functional dependence simplification.” International Journal of Computer Mathematics, 89(4), 510-526.

Belohlavek R, Cordero P, Enciso M, Mora Á, Vychodil V (2016). “Automated prover for attribute dependencies in data with grades.” International Journal of Approximate Reasoning, 70, 51-67.